Kunci Jawaban "BOCORAN" Prediksi UN Matematika SMA 2019 Program IPA
Wednesday, 11 November 2015
Add Comment
Selamat siang
Kemarin saya share soal Latihan Prediksi UN Matematika SMA 2019 Program IPA
Sejauh ini sudah diikuti hampir 200 siswa se Indonesia
Tidak sekidit juga siswa ya meminta penyelesaian kepada saya
Berikut Kunci Penyelesaian
Link kunci ini akan muncul jika Siswa telah mengirim tanggapan pada Latihan Prediksi UN Matematika SMA 2019 Program IPA
Penyelesaian Soal 1
Penyelesaian Soal 2
Penyelesaian Soal 3
Penyelesaian Soal 4
Penyelesaian Soal 5
Penyelesaian Soal 6
Penyelesaian Soal 7

Penyelesaian Soal 8
Penyelesaian Soal 9
Penyelesaian Soal 10
Penyelesaian Soal 11
Penyelesaian Soal 12
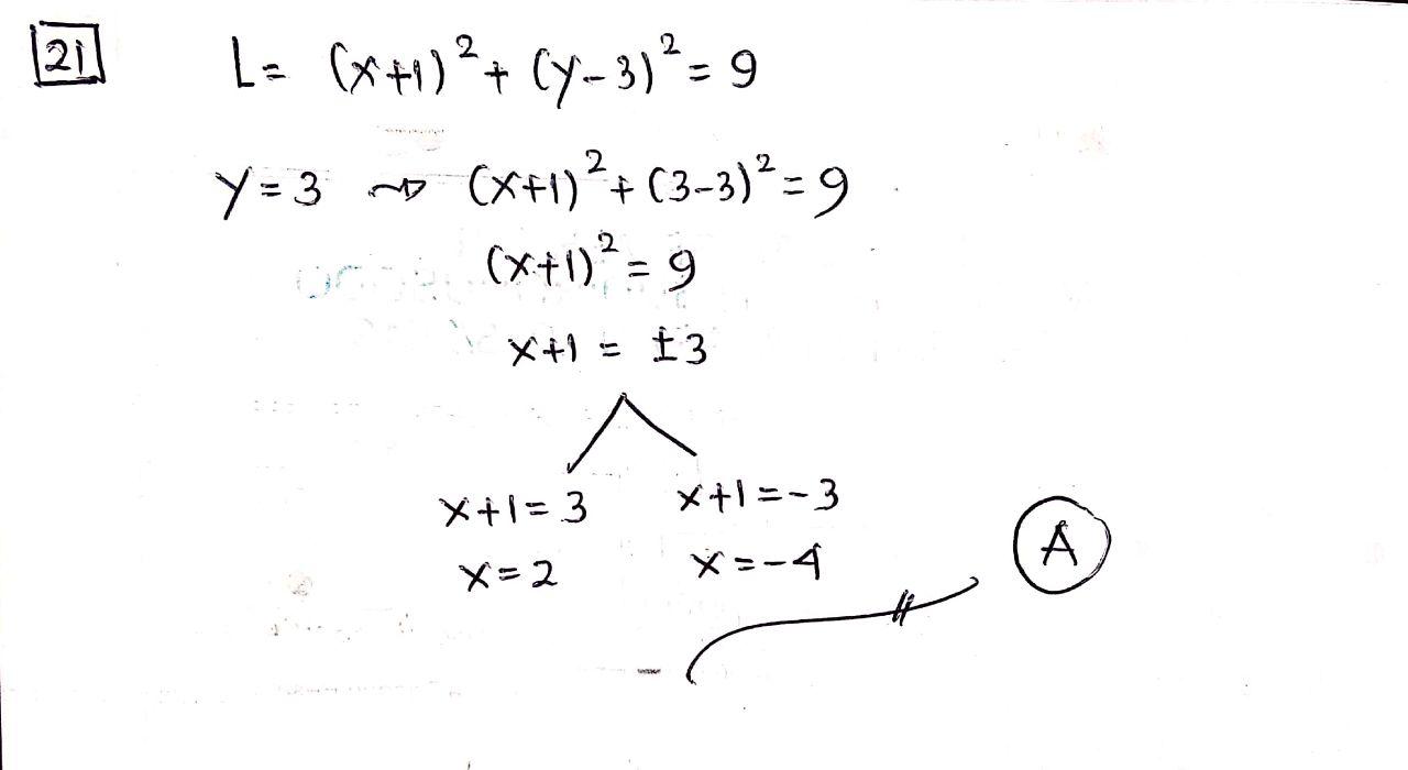
Penyelesaian Soal 13
Penyelesaian Soal 14
Penyelesaian Soal 15
Penyelesaian Soal 16
Penyelesaian Soal 17
Penyelesaian Soal 18
Penyelesaian Soal 19
Penyelesaian Soal 20
Penyelesaian Soal 21
Penyelesaian Soal 22

Penyelesaian Soal 23
Penyelesaian Soal 24
Penyelesaian Soal 25
Penyelesaian Soal 26
Penyelesaian Soal 27
Penyelesaian Soal 28
Penyelesaian Soal 29
Penyelesaian Soal 30
Penyelesaian Soal 31

Penyelesaian Soal 33

Penyelesaian Soal 40
Kemarin saya share soal Latihan Prediksi UN Matematika SMA 2019 Program IPA
Sejauh ini sudah diikuti hampir 200 siswa se Indonesia
Tidak sekidit juga siswa ya meminta penyelesaian kepada saya
Berikut Kunci Penyelesaian
Link kunci ini akan muncul jika Siswa telah mengirim tanggapan pada Latihan Prediksi UN Matematika SMA 2019 Program IPA
Penyelesaian Soal 1
Penyelesaian Soal 2
Penyelesaian Soal 3
Penyelesaian Soal 4
Penyelesaian Soal 5
Penyelesaian Soal 6
Penyelesaian Soal 7
Penyelesaian Soal 8
Penyelesaian Soal 9
Penyelesaian Soal 10
Penyelesaian Soal 11
Penyelesaian Soal 12
Alternatif Penyelesaian
Penyelesaian Soal 13
Penyelesaian Soal 14
Penyelesaian Soal 15
Penyelesaian Soal 16
Alternatif Penyelesaian
Penyelesaian Soal 17
Alternatif Penyelesaian
Penyelesaian Soal 18
Penyelesaian Soal 19
Penyelesaian Soal 20
Penyelesaian Soal 21
Penyelesaian Soal 22
Penyelesaian Soal 23
Alternatif Penyelesaian
Penyelesaian Soal 24
Penyelesaian Soal 25
Penyelesaian Soal 26
Penyelesaian Soal 27
Penyelesaian Soal 28
Penyelesaian Soal 29
Penyelesaian Soal 30
Penyelesaian Soal 31
Penyelesaian Soal 32
Penyelesaian Soal 34
Penyelesaian Soal 35
Penyelesaian Soal 36
Penyelesaian Soal 37
Penyelesaian Soal 38
Penyelesaian Soal 39
Penyelesaian Soal 40






























0 Response to "Kunci Jawaban "BOCORAN" Prediksi UN Matematika SMA 2019 Program IPA"
Post a Comment